Lompat ke konten
Home » Blog » SMA – FISIKA – Gerak Dan Hukum Newton

SMA – FISIKA – Gerak Dan Hukum Newton

Materi :
Gerak Dan Hukum Newton
Sub Materi :
1. Gerak Lurus Berubah Beraturan (Glbb)
2. Hukum Gerak Newton

Pengantar Materi

Gerak Dan Hukum Newton. Hukum Newton tentang gerak terdiri dari tiga prinsip dasar yang menjelaskan hubungan antara gaya dan gerakan benda: Hukum I Newton (Hukum Kelembaman) menyatakan bahwa benda akan tetap diam atau bergerak lurus beraturan jika tidak ada gaya luar yang bekerja padanya. Hukum II Newton menjelaskan bahwa percepatan sebuah benda sebanding dengan gaya yang bekerja padanya dan berbanding terbalik dengan massanya (F=ma). Hukum III Newton menyatakan bahwa untuk setiap aksi, ada reaksi yang sama besar dan berlawanan arah.

Gerak Lurus Berubah Beraturan (Glbb)

Gerak lurus berubah beraturan (GLBB) adalah gerak suatu benda pada lintasan lurus dengan percepatan tetap (konstan). Percepatan tetap artinya baik besar maupun arahnya tetap. Perbedaan utama GLBB dan GLB (Gerak Lurus Beraturan) adalah GLB tidak mempunyai percepatan sedangkan GLBB mempunyai percepatan (a).

1. Variabel GLBB

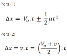
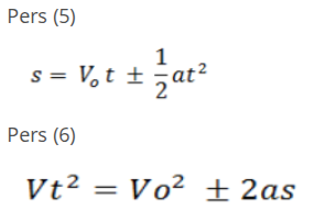
Secara umum ada tiga variabel dari Gerak Lurus Berubah Beraturan, yaitu perpindahan (S), Kecepatan (V), dan Percepatan (a). Pada GLBB, perpindahan memiliki dua rumus utama yaitu:

Di mana

Δx / S = perpindahan (m)

Vo = kecepatan awal benda (m/s)

a = percepatan/ perlambatan (m/s2)

t = waktu benda bergerak (s)

v = kecepatan akhir benda (m/s)

Sedangkan kecepatan juga memiliki dua rumus utama yaitu:

Persamaan (5) dan (6) adalah hasil gabungan dari persamaan (1), (2) dengan (3) (4)

2. Analisa Persamaan 1 dan 6

Apabila kita identifikasi dari persamaan 1 dan 6, akan didapatkan analisa sebagai berikut:

  1. Nilai perpindahan dapat diperoleh menggunakan persamaan (1)
  2. Nilai kecepatan akhir diperoleh menggunakan persamaan (3)
  3. Cara menyelesaikan soal GLBB apabila bentuknya sebuah fungsi adalah dengan cara differensial/integral
  4. Menyelesaikan soal GLBB berupa bangun ruang adalah dengan menghitung luasan daerah yang ditanyakan

Hukum Gerak Newton

Hukum Newton itu ada dua macam ya, Hukum Gerak Newton dan Hukum Gravitasi Newton. Kali ini, kita akan fokus ke pembahasan Hukum Gerak Newton. Hukum Newton sendiri terdiri atas 3 bagian, yakni Hukum I Newton, Hukum II Newton, dan Hukum III Newton.

1. Hukum I Newton

Hukum I Newton berbunyi:

 “Saat suatu benda sedang diam, maka benda akan tetap diam dan benda yang sedang bergerak lurus beraturan akan terus bergerak lurus beraturan, jika resultan gaya yang bekerja sama dengan nol.”

Contoh penerapan Hukum I Newton dalam kehidupan sehari-hari adalah ketika kita menarik kertas yang di atasnya terdapat uang logam dengan sangat cepat.

2. Hukum II Newton

Hukum II Newton berbunyi:

 “Percepatan yang dihasilkan oleh resultan gaya yang bekerja pada suatu benda sebanding dengan resultan gayanya dan berbanding terbalik dengan massa bendanya.”

Contoh penerapan Hukum II Newton adalah ketika kita mendorong mobil mainan. Jika kita mendorong mobil mainan tersebut dengan semakin kuat, maka akan semakin cepat pula mobil mainan itu bergerak.

3. Hukum III Newton

Hukum III Newton yang berbunyi:

 “Jika benda A mengerjakan gaya pada benda B, maka benda B akan mengerjakan gaya pada benda A yang besarnya sama, namun dengan arah yang berlawanan.”

Contoh penerapan Hukum III Newton adalah yang tadi sudah kita bahas di awal, yaitu ketika kita memukul atau mendorong dinding.

Simpulan Materi

gerak dan hukum Newton adalah dua konsep dasar dalam fisika. Gerak Lurus Berubah Beraturan (GLBB) adalah gerak benda pada lintasan lurus dengan percepatan konstan, yang berbeda dari Gerak Lurus Beraturan (GLB) karena adanya percepatan. Teks juga menjelaskan Hukum Gerak Newton yang terdiri dari tiga hukum: Hukum I (hukum kelembaman, benda akan tetap diam atau bergerak konstan jika resultan gaya nol), Hukum II (percepatan sebanding dengan resultan gaya dan berbanding terbalik dengan massa), dan Hukum III (hukum aksi-reaksi, setiap gaya aksi akan menimbulkan gaya reaksi yang sama besar namun berlawanan arah).

Latihan Soal

Soal Pilihan Ganda

  1. Berikut ini adalah salah satu variabel dari Gerak Lurus Berubah Beraturan (GLBB), yaitu…

    a. perpindahan

    b. massa

    c. gaya

    d. waktu

  2. Berikut ini yang merupakan hukum yang menyatakan bahwa sebuah benda akan tetap diam atau bergerak lurus beraturan jika resultan gaya yang bekerja sama dengan nol adalah…

    a. Hukum I Newton

    b. Hukum II Newton

    c. Hukum III Newton

    d. Hukum Coulomb

  3. Menurut Hukum III Newton, setiap gaya aksi akan menimbulkan gaya reaksi yang…

    a. lebih besar dan berlawanan arah

    b. lebih kecil dan berlawanan arah

    c. sama besar dan berlawanan arah

    d. sama besar dan searah

  4. Percepatan yang dihasilkan oleh resultan gaya yang bekerja pada suatu benda berbanding terbalik dengan…

    a. kecepatan benda

    b. percepatan benda

    c. massa benda

    d. waktu benda

  5. Perbedaan utama antara Gerak Lurus Berubah Beraturan (GLBB) dan Gerak Lurus Beraturan (GLB) adalah…

    a. GLB tidak mempunyai percepatan, sedangkan GLBB mempunyai percepatan

    b. GLBB tidak mempunyai percepatan, sedangkan GLB mempunyai percepatan

    c. GLB dan GLBB sama-sama mempunyai percepatan

    d. GLB dan GLBB tidak mempunyai percepatan

Soal Essay

  1. Jelaskan perbedaan mendasar antara Hukum I Newton dan Hukum II Newton.

  2. Jelaskan apa yang dimaksud dengan Gerak Lurus Berubah Beraturan (GLBB).

  3. Jelaskan bagaimana Hukum III Newton dapat diterapkan pada saat seseorang memukul atau mendorong dinding.

  4. Jelaskan apa yang dimaksud dengan Hukum I Newton.

  5. Apa saja tiga variabel utama dari Gerak Lurus Berubah Beraturan?

Ingin Kembangkan Prestasi dan Kemampuanmu?

Yuk! Ikutan kompetisi online gratis dan terpercaya yang diselenggarakan oleh Lembaga Profesional dan terdaftar di SIMT PUSPRESNAS berikut ini:

Mengapa Harus Daftar Kompetisi Kami?

Selain terdaftar di SIMT KURASI PUSPRESNAS, kami juga memiliki banyak keunggulan:

Pendaftaran Gratis

Pendaftaran Kompetisi dan Olimpiade GRATIS tanpa syarat apapun.

Apresiasi Juara Gratis

Apresiasi juara juga GRATIS tanpa perlu membayar klaim hingga ratusan ribu loh.

Beasiswa hingga Kuliah

Tersedia Beasiswa Khusus Alumni yang diberikan hingga kuliah loh!.

Pendukung Japres & SNBP

Piagam bisa digunakan untuk Jalur Prestasi, Beasiswa dan SNBP loh.

Sudah Ribuan Alumni

Sudah diikuti banyak alumni yang tersebar di seluruh Indonesia dan luar negeri.

Dikelola secara Syariah

Pengelolaan hadiah dan apresiasi dikelola secara terpisah dan sesuai syariah.

Bantuan Kurasi Prestasi

Tersedia layanan bantuan dan panduan kurasi prestasi peserta loh.

Legalitas Terjamin

Lembaga penyelenggara telah terdaftar di kementerian dan SIMT Kurasi.

Tunggu apalagi? Ingin kejar tiket SPMB Jalur Prestasi atau SNBP di tahun depan? segera gabung dan daftarkan dirimu sekarang juga!. Prestasi itu tidak ada yang instan loh! Mulai dan persiapkan versi terbaikmu mulai dari sekarang juga!.

Alur Kurasi

Informasi Alur Kurasi Prestasi dan Informasi Penting

Pusat Data

Pusat Data alumni dan peserta setiap tahun dalam grafik

Berikan Komentar

Alamat email Anda tidak akan dipublikasikan. Ruas yang wajib ditandai *