Lompat ke konten
Home » Blog » SMA – MATEMATIKA – Kombinatorika

SMA – MATEMATIKA – Kombinatorika

Materi :
Kombinatorika
Sub Materi :
1. Kaidah Pencacahan
2. Rumus Kaidah Pencacahan
3. Prinsip Inklusi-Eksklusi
4. Teori Graf Dasar Dan Aplikasinya

Pengantar Materi

Kombinatorika adalah cabang matematika yang mempelajari prinsip penghitungan, penggabungan, dan penyusunan objek-objek atau elemen-elemen tertentu untuk menentukan banyaknya kemungkinan atau cara yang ada. Bidang ini berfokus pada struktur dan sifat-sifat dari objek diskrit dan berhingga, serta mencari cara untuk mencacah, membuat, atau mengoptimalkan struktur-struktur tersebut.

Kaidah Pencacahan

Gambar 1.1. Ilustrasi Kaidah Pencacahan 

Kaidah pencacahan berfungsi untuk membantu kita menghitung jumlah kemungkinan atau pola-pola tertentu dengan cara yang lebih sistematis. Kaidah pencacahan bisa diterapkan di banyak kasus, mulai dari masalah kombinatorik, probabilitas, hingga statistic

Rumus Kaidah Pencacahan

Dalam materi pencacahan, terdapat empat kaidah perhitunga. Keempat kaidah itu merupakan penjumlahan dan perkalian, faktorial, permutasi, dan kombinasi.

1. Penjumlahan

Rumus ini biasanya digunakan untuk menghitung banyak kemungkinan yang ada dari beberapa kasus yang bisa dipilih atau dikombinasikan secara eksklusif.

2. Perkalian

Rumus ini digunakan jika kita punya beberapa kasus yang bisa dipilih, dikombinasikan secara bersamaan, atau saling tergantung satu sama lain. Rumus kaidah pencacahan untuk perkalian ini biasanya dipakai buat menghitung banyak kemungkinan susunan atau kombinasi dari beberapa objek yang saling bergantung.

3. Faktorial

Faktorial adalah operasi matematika yang digunakan untuk mengalikan bilangan bulat positif dengan semua bilangan bulat positif yang lebih kecil daripadanya sendiri, hingga mencapai angka 1.  Faktorial dituliskan dengan tanda seru (!) di belakang bilangan yang akan dihitung faktorialnya.

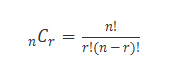
4. Permutasi

menghitung banyaknya susunan terurut dari objek-objek yang berbeda. Dalam permutasi, setiap objek harus ditempatkan pada posisi yang berbeda-beda dalam susunan yang terurut.

Keterangan:

n = Jumlah objek yang tersedia

r = Jumlah objek yang akan

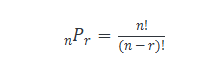
5. Kombinasi

Kombinasi digunakan untuk menghitung banyaknya cara memilih objek-objek tertentu dari sekelompok objek tanpa memperhatikan urutan atau posisi objek tersebut. Rumus kombinasi sendiri berbeda dengan permutasi dan faktorial. Rumus kombinasi menggunakan faktorial dan permutasi untuk menghitung jumlah cara memilih objek-objek tersebut. Berikut rumus kombinasi peluang yang wajib Sobat Pijar ketahui:

Prinsip Inklusi-Eksklusi

Dalam kombinatorik , prinsip inklusi-eksklusi adalah teknik penghitungan yang menggeneralisasi metode yang umum digunakan untuk memperoleh jumlah elemen dalam gabungan dua himpunan hingga ; secara simbolis dinyatakan sebagai

di mana A dan B adalah dua himpunan berhingga dan | S | menunjukkan kardinalitas himpunan S (yang dapat dianggap sebagai jumlah elemen himpunan tersebut, jika himpunan tersebut berhingga ).

Teori Graf Dasar Dan Aplikasinya

Teori graf adalah studi tentang struktur data graf, yang merepresentasikan jaringan objek dan memodelkan hubungan antar objek menggunakan simpul (node) dan sisi.

1. Bagaimana Teori Graf Digunakan

Grafik dapat digunakan untuk memodelkan berbagai jenis hubungan dan proses dalam sistem fisik, biologi, sosial, dan informasi, dan memiliki berbagai aplikasi yang bermanfaat, seperti:

  •  Menemukan komunitas dalam jaringan, seperti media sosial (rekomendasi teman/koneksi), atau untuk kemungkinan penyebaran COVID-19 di komunitas melalui kontak.
  • Peringkat hyperlink di mesin pencari .
  • GPS di Google Maps untuk menemukan jalur terpendek pulang.
  • Studi molekul dan atom dalam kimia.
  • Pengurutan DNA.
  • Keamanan jaringan komputer .
2. Jenis-jenis Grafik

Terdapat 3 Jenis Grafik yang Perlu Diketahui dalam Teori Grafik

  • Grafik tak berarah: Semua lintasan antara setiap simpul bersifat dua arah .
  • Grafik terarah (digraf) : Lintasan antara simpul memiliki arah yang ditentukan.
  • Grafik berbobot : Lintasan antara setiap simpul memiliki arah dan bobot yang ditentukan untuk menunjukkan jarak.

Simpulan Materi

kombinatorika adalah cabang matematika yang berfokus pada teknik pencacahan untuk menghitung kemungkinan dan pola, seperti kaidah pencacahan yang meliputi penjumlahan, perkalian, faktorial, permutasi, dan kombinasi. Teks juga menjelaskan prinsip inklusi-eksklusi yang digunakan untuk menghitung jumlah elemen dalam gabungan himpunan, serta teori graf, yaitu studi tentang struktur data yang memodelkan hubungan antar objek menggunakan simpul dan sisi, yang memiliki berbagai aplikasi praktis.

Latihan Soal

Soal Pilihan Ganda

  1. Berikut ini adalah salah satu kaidah pencacahan yang digunakan untuk menghitung banyaknya cara memilih objek-objek tertentu dari sekelompok objek tanpa memperhatikan urutan, yaitu…

    a. permutasi

    b. faktorial

    c. kombinasi

    d. penjumlahan

  2. Berikut ini yang merupakan salah satu contoh aplikasi dari teori graf adalah…

    a. menghitung volume kubus

    b. menemukan jalur terpendek pada GPS

    c. menghitung perkalian matriks

    d. menentukan nilai limit

  3. Operasi matematika yang digunakan untuk mengalikan bilangan bulat positif dengan semua bilangan bulat positif yang lebih kecil daripadanya sendiri, hingga mencapai angka 1, disebut…

    a. permutasi

    b. kombinasi

    c. faktorial

    d. perkalian

  4. Berikut ini adalah salah satu jenis grafik yang memiliki lintasan antara setiap simpul yang bersifat dua arah, yaitu…

    a. grafik tak berarah

    b. grafik terarah

    c. grafik berbobot

    d. digraf

  5. Kaidah pencacahan yang digunakan untuk menghitung banyaknya susunan terurut dari objek-objek yang berbeda disebut…

    a. kombinasi

    b. permutasi

    c. faktorial

    d. penjumlahan

Soal Essay

  1. Jelaskan perbedaan mendasar antara permutasi dan kombinasi.

  2. Jelaskan apa yang dimaksud dengan teori graf.

  3. Jelaskan apa yang dimaksud dengan faktorial.

  4. Jelaskan perbedaan antara grafik terarah (digraf) dan grafik tak berarah.

  5. Menurut teks, apa saja yang termasuk dalam kaidah pencacahan?

Ingin Kembangkan Prestasi dan Kemampuanmu?

Yuk! Ikutan kompetisi online gratis dan terpercaya yang diselenggarakan oleh Lembaga Profesional dan terdaftar di SIMT PUSPRESNAS berikut ini:

Mengapa Harus Daftar Kompetisi Kami?

Selain terdaftar di SIMT KURASI PUSPRESNAS, kami juga memiliki banyak keunggulan:

Pendaftaran Gratis

Pendaftaran Kompetisi dan Olimpiade GRATIS tanpa syarat apapun.

Apresiasi Juara Gratis

Apresiasi juara juga GRATIS tanpa perlu membayar klaim hingga ratusan ribu loh.

Beasiswa hingga Kuliah

Tersedia Beasiswa Khusus Alumni yang diberikan hingga kuliah loh!.

Pendukung Japres & SNBP

Piagam bisa digunakan untuk Jalur Prestasi, Beasiswa dan SNBP loh.

Sudah Ribuan Alumni

Sudah diikuti banyak alumni yang tersebar di seluruh Indonesia dan luar negeri.

Dikelola secara Syariah

Pengelolaan hadiah dan apresiasi dikelola secara terpisah dan sesuai syariah.

Bantuan Kurasi Prestasi

Tersedia layanan bantuan dan panduan kurasi prestasi peserta loh.

Legalitas Terjamin

Lembaga penyelenggara telah terdaftar di kementerian dan SIMT Kurasi.

Tunggu apalagi? Ingin kejar tiket SPMB Jalur Prestasi atau SNBP di tahun depan? segera gabung dan daftarkan dirimu sekarang juga!. Prestasi itu tidak ada yang instan loh! Mulai dan persiapkan versi terbaikmu mulai dari sekarang juga!.

Alur Kurasi

Informasi Alur Kurasi Prestasi dan Informasi Penting

Pusat Data

Pusat Data alumni dan peserta setiap tahun dalam grafik

Berikan Komentar

Alamat email Anda tidak akan dipublikasikan. Ruas yang wajib ditandai *